Указ Губернатора Иркутской области от 18.12.2024 № 464-уг
"Об охранной зоне памятника природы регионального значения "Комплекс скал "Старуха"
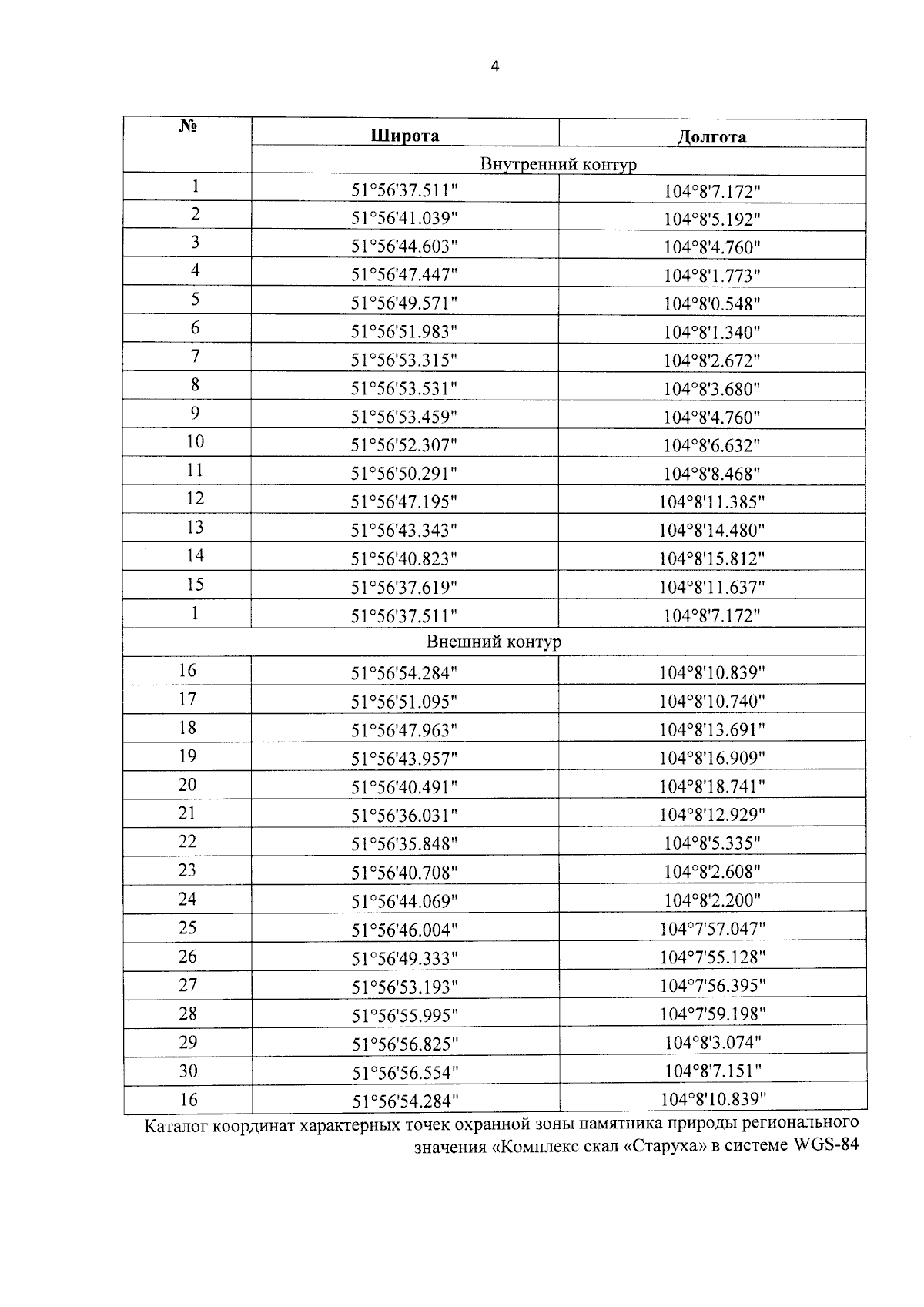
"Об охранной зоне памятника природы регионального значения "Комплекс скал "Старуха"
Номер опубликования: 3800202412200008
Дата опубликования:
20.12.2024
