Официальное опубликование правовых актов
ОФИЦИАЛЬНОЕ ОПУБЛИКОВАНИЕ
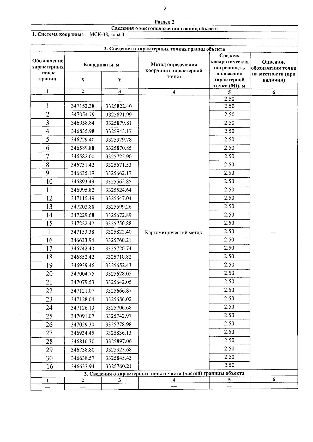
Указ Губернатора Иркутской области от 18.12.2024 № 464-уг
"Об охранной зоне памятника природы регионального значения "Комплекс скал "Старуха"
Номер опубликования: 3800202412200008
Дата опубликования: 20.12.2024
Страница №3 из 8:
Увеличить