Официальное опубликование правовых актов
ОФИЦИАЛЬНОЕ ОПУБЛИКОВАНИЕ
Приказ министерства архитектуры и градостроительства Воронежской области от 14.01.2026 № 45-01-04/10
"О внесении изменений в правила землепользования и застройки Новокалитвенского сельского поселения Россошанского муниципального района Воронежской области"
(Зарегистрирован 04.02.2026 № 45)
Номер опубликования: 3601202602050001
Дата опубликования: 05.02.2026
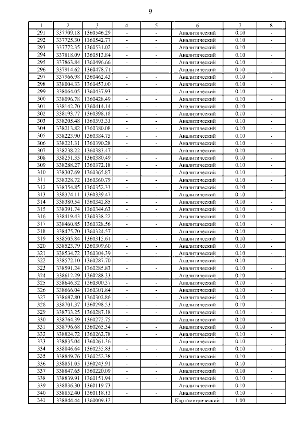
Страница №15 из 61:
Увеличить