Официальное опубликование правовых актов
ОФИЦИАЛЬНОЕ ОПУБЛИКОВАНИЕ
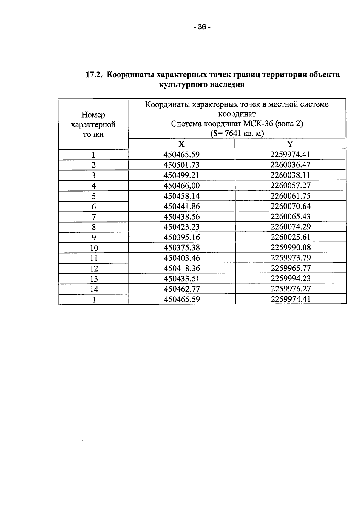
Приказ управления по охране объектов культурного наследия Воронежской области от 16.01.2026 № 71-01-05/3
"Об утверждении границ территорий объектов культурного наследия регионального значения, расположенных на территории Новохопёрского муниципального района Воронежской области"
(Зарегистрирован 02.02.2026 № 28)
Номер опубликования: 3601202602030001
Дата опубликования: 03.02.2026
Страница №36 из 54:
Увеличить