Приказ министерства образования Воронежской области от 11.07.2025 № 847
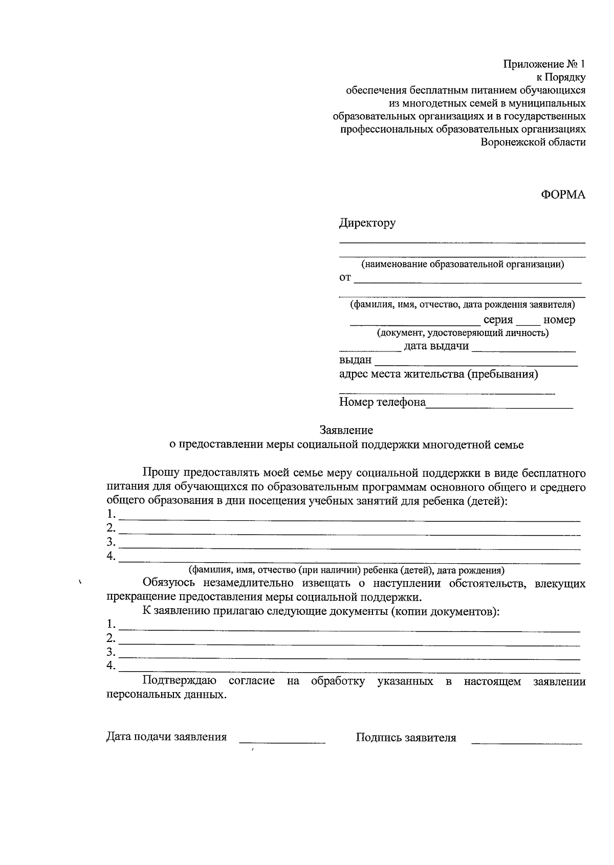
"Об утверждении порядка обеспечения бесплатным питанием обучающихся из многодетных семей в муниципальных образовательных организациях и в государственных профессиональных образовательных организациях Воронежской области"
(Зарегистрирован 04.08.2025 № 830)
"Об утверждении порядка обеспечения бесплатным питанием обучающихся из многодетных семей в муниципальных образовательных организациях и в государственных профессиональных образовательных организациях Воронежской области"
(Зарегистрирован 04.08.2025 № 830)
Номер опубликования: 3601202508060001
Дата опубликования:
06.08.2025
