Официальное опубликование правовых актов
ОФИЦИАЛЬНОЕ ОПУБЛИКОВАНИЕ
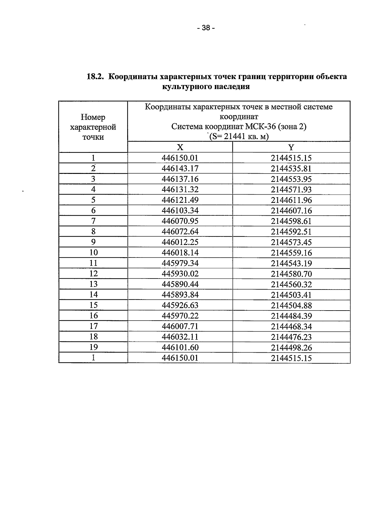
Приказ управления по охране объектов культурного наследия Воронежской области от 08.07.2025 № 71-01-05/134
"Об утверждении границ территорий объектов культурного наследия регионального значения, расположенных на территории Бобровского муниципального района Воронежской области"
(Зарегистрирован 01.08.2025 № 807)
Номер опубликования: 3601202508050015
Дата опубликования: 05.08.2025
Страница №38 из 40:
Увеличить