Официальное опубликование правовых актов
ОФИЦИАЛЬНОЕ ОПУБЛИКОВАНИЕ
Приказ министерства архитектуры и градостроительства Воронежской области от 27.10.2023 № 45-01-04/1066
"О внесении изменений в правила землепользования и застройки Усманского 1-го сельского поселения Новоусманского муниципального района Воронежской области"
(Зарегистрирован 07.11.2023 № 1363)
Номер опубликования: 3601202311140003
Дата опубликования: 14.11.2023
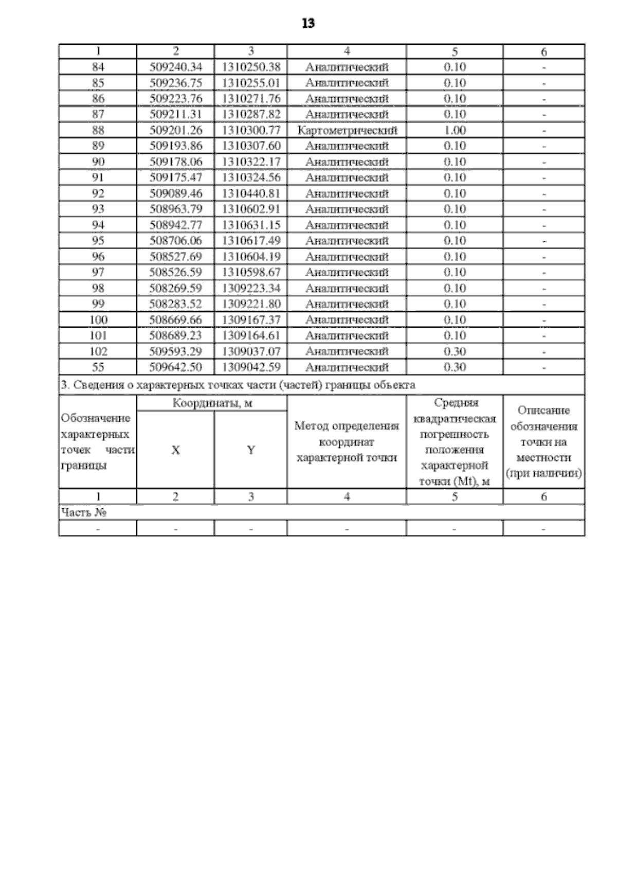
Страница №475 из 616:
Увеличить