Официальное опубликование правовых актов
ОФИЦИАЛЬНОЕ ОПУБЛИКОВАНИЕ
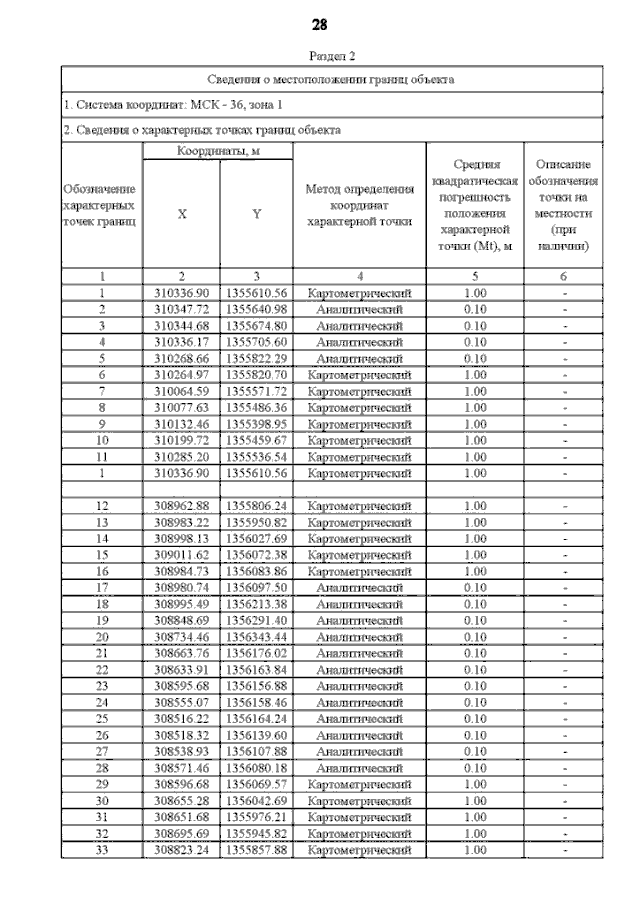
Приказ Департамента архитектуры и градостроительства Воронежской области от 22.06.2023 № 45-01-04/523
"Об утверждении правил землепользования и застройки Смаглеевского сельского поселения Кантемировского муниципального района Воронежской области"
(Зарегистрирован 05.07.2023 № 732)
Номер опубликования: 3601202307070005
Дата опубликования: 07.07.2023
Страница №126 из 152:
Увеличить