Официальное опубликование правовых актов
ОФИЦИАЛЬНОЕ ОПУБЛИКОВАНИЕ
Приказ Департамента архитектуры и градостроительства Воронежской области от 31.05.2023 № 45-01-04/426
"Об утверждении правил землепользования и застройки Бутурлиновского городского поселения Бутурлиновского муниципального района Воронежской области"
(Зарегистрирован 07.06.2023 № 608)
Номер опубликования: 3601202306080009
Дата опубликования: 08.06.2023
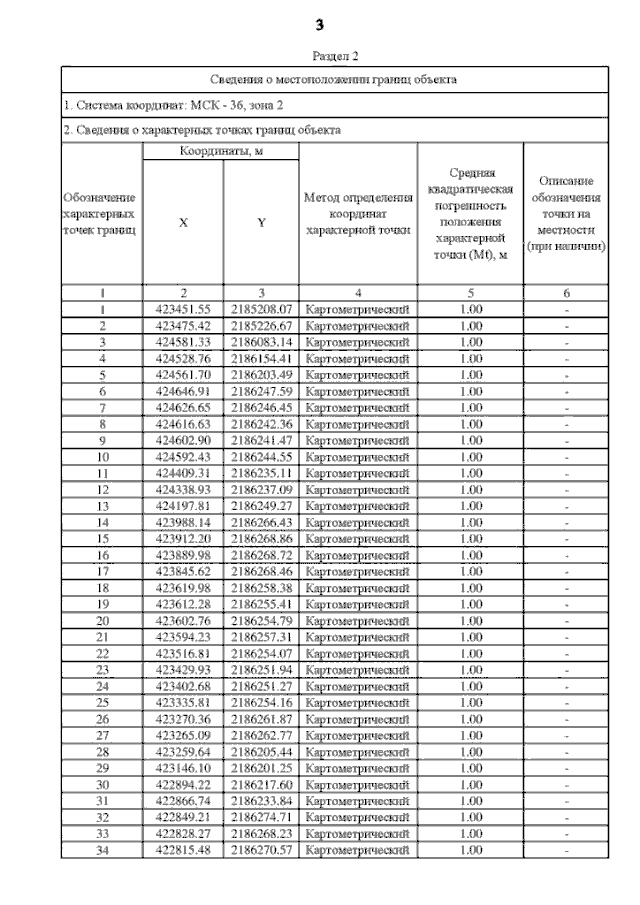
Страница №67 из 459:
Увеличить