Официальное опубликование правовых актов
ОФИЦИАЛЬНОЕ ОПУБЛИКОВАНИЕ
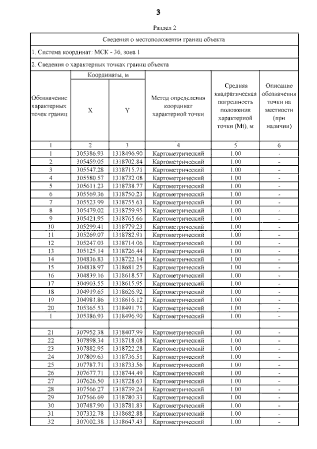
Приказ Департамента архитектуры и градостроительства Воронежской области от 16.05.2023 № 45-01-04/357
"Об утверждении правил землепользования и застройки Бондаревского сельского поселения Кантемировского муниципального района Воронежской области"
(Зарегистрирован 29.05.2023 № 547)
Номер опубликования: 3601202306060005
Дата опубликования: 06.06.2023
Страница №44 из 173:
Увеличить