Официальное опубликование правовых актов
ОФИЦИАЛЬНОЕ ОПУБЛИКОВАНИЕ
Приказ Департамента архитектуры и градостроительства Воронежской области от 13.04.2023 № 45-01-04/265
"О внесении изменений в правила землепользования и застройки Александро-Донского сельского поселения Павловского муниципального района Воронежской области"
(Зарегистрирован 18.04.2023 № 378)
Номер опубликования: 3601202304190001
Дата опубликования: 19.04.2023
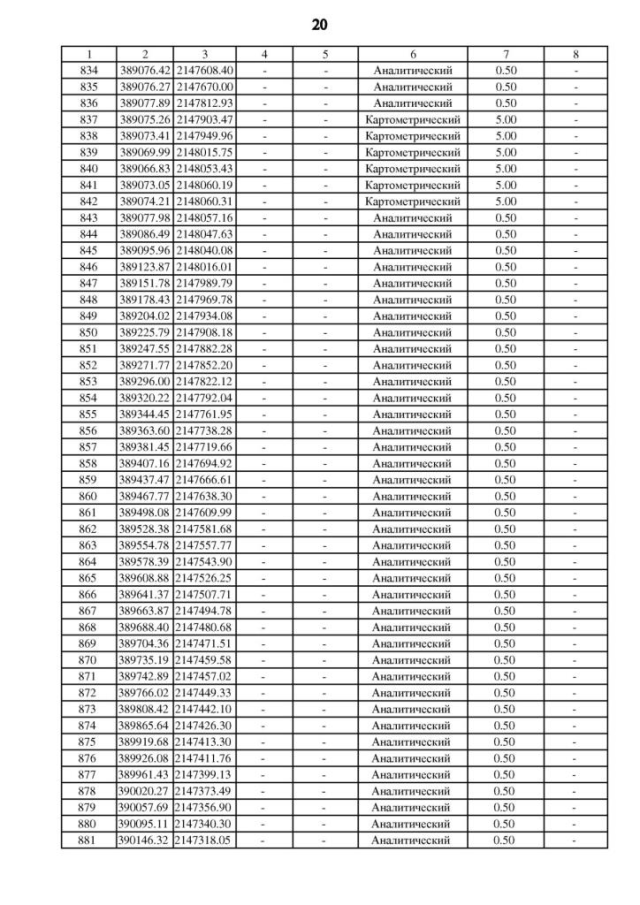
Страница №125 из 182:
Увеличить