Официальное опубликование правовых актов
ОФИЦИАЛЬНОЕ ОПУБЛИКОВАНИЕ
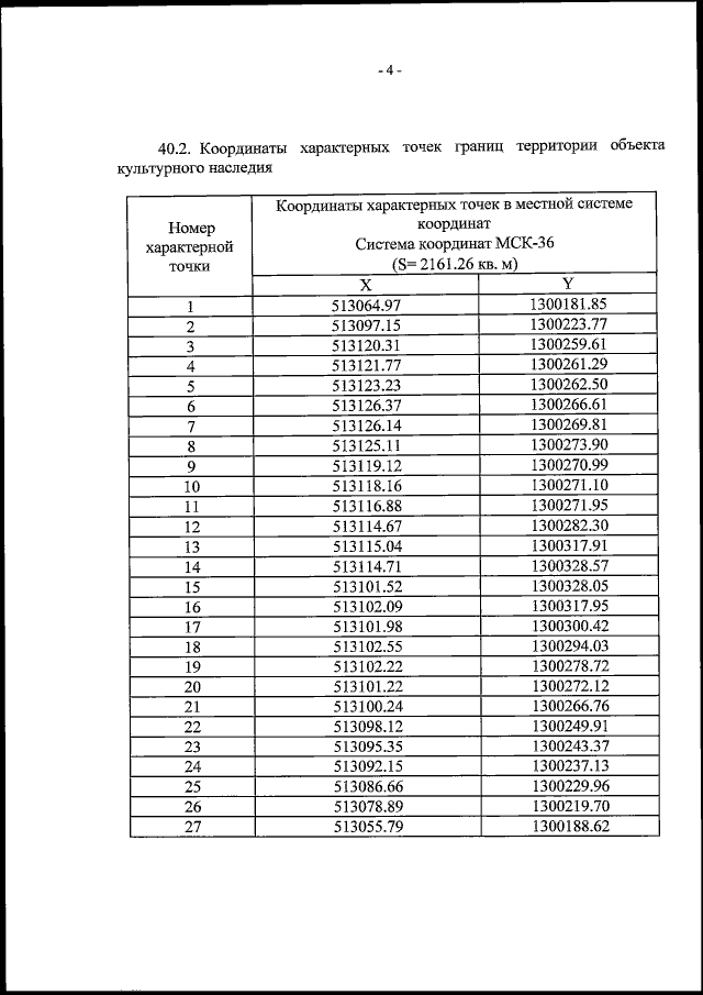
Приказ управления по охране объектов культурного наследия Воронежской области от 20.03.2023 № 71-01-07/143
"О внесении изменений в приказ управления культуры Воронежской области от 08.12.2009 № 620-ОД "Об утверждении границ территорий и режима использования территорий объектов культурного наследия регионального значения, расположенных в городском округе город Воронеж"
(Зарегистрирован 05.04.2023 № 309)
Номер опубликования: 3601202304070003
Дата опубликования: 07.04.2023
Страница №4 из 23:
Увеличить