Официальное опубликование правовых актов
ОФИЦИАЛЬНОЕ ОПУБЛИКОВАНИЕ
Приказ Департамента архитектуры и градостроительства Воронежской области от 25.01.2023 № 45-01-04/43
"Об утверждении правил землепользования и застройки Вязноватовского сельского поселения Нижнедевицкого муниципального района Воронежской области"
(Зарегистрирован 01.02.2023 № 58)
Номер опубликования: 3601202302060009
Дата опубликования: 06.02.2023
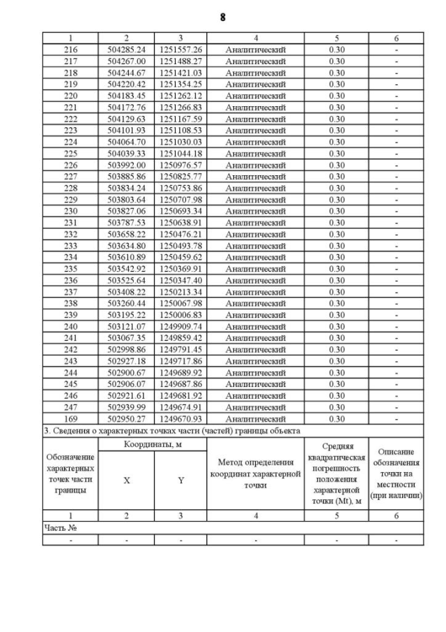
Страница №126 из 141:
Увеличить