Официальное опубликование правовых актов
ОФИЦИАЛЬНОЕ ОПУБЛИКОВАНИЕ
Приказ Департамента архитектуры и градостроительства Воронежской области от 20.01.2023 № 45-01-04/26
"О внесении изменений в правила землепользования и застройки Рогачёвского сельского поселения Новоусманского муниципального района Воронежской области"
(Зарегистрирован 27.01.2023 № 42)
Номер опубликования: 3601202301310006
Дата опубликования: 31.01.2023
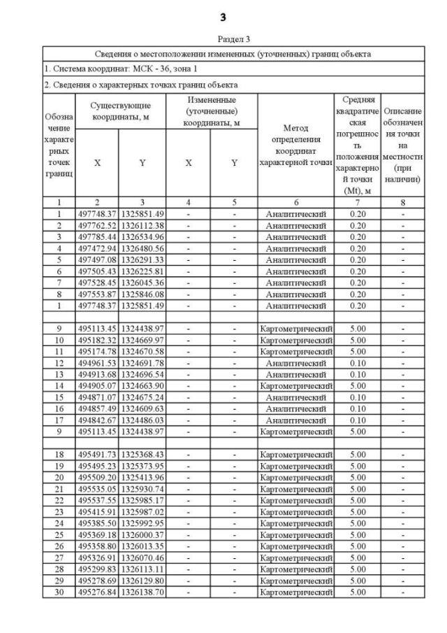
Страница №17 из 20:
Увеличить