Официальное опубликование правовых актов
ОФИЦИАЛЬНОЕ ОПУБЛИКОВАНИЕ
Приказ Департамента архитектуры и градостроительства Воронежской области от 22.12.2022 № 45-01-04/1278
"Об утверждении правил землепользования и застройки Берёзовского сельского поселения Рамонского муниципального района Воронежской области"
(Зарегистрирован 30.12.2022 № 2108)
Номер опубликования: 3601202301020001
Дата опубликования: 02.01.2023
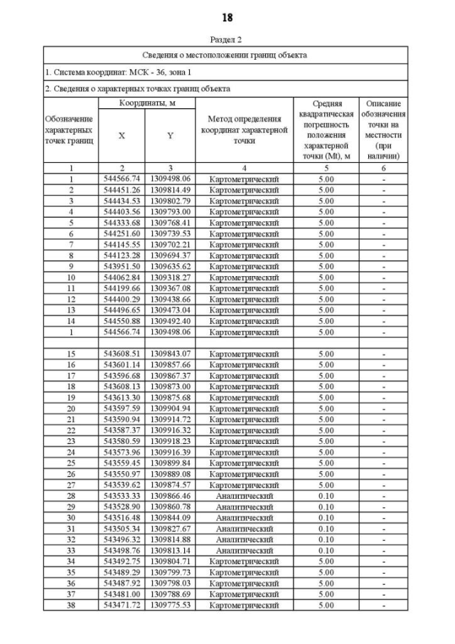
Страница №277 из 425:
Увеличить