Официальное опубликование правовых актов
ОФИЦИАЛЬНОЕ ОПУБЛИКОВАНИЕ
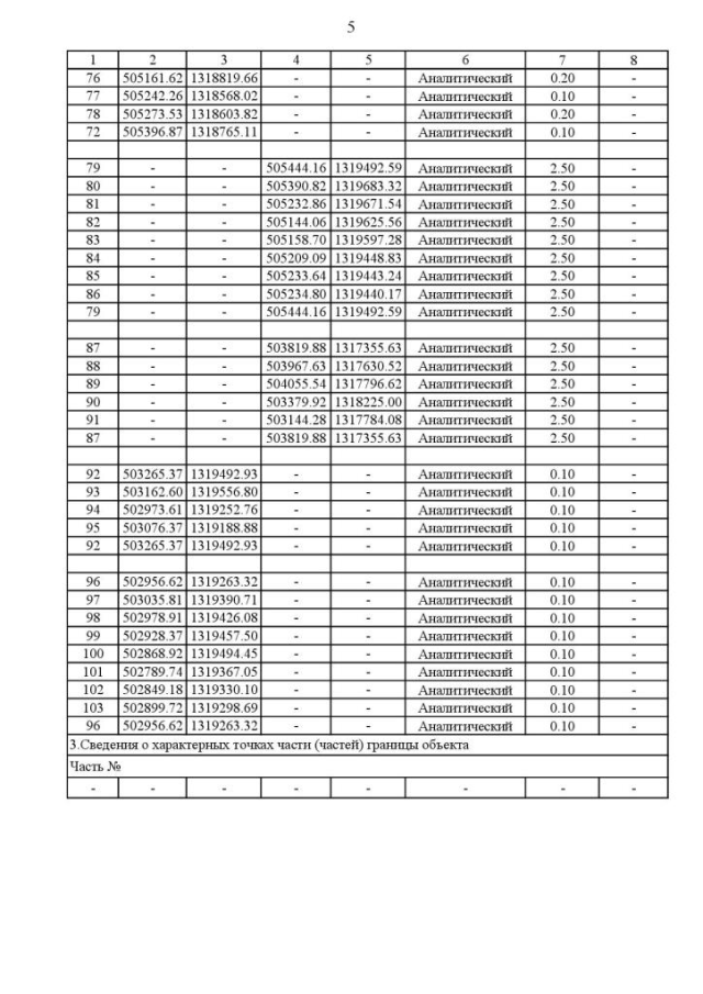
Приказ Департамента архитектуры и градостроительства Воронежской области от 14.12.2022 № 45-01-04/1243
"О внесении изменений в правила землепользования и застройки Усманского 2-го сельского поселения Новоусманского муниципального района Воронежской области"
(Зарегистрирован 22.12.2022 № 2019)
Номер опубликования: 3601202212260009
Дата опубликования: 26.12.2022
Страница №12 из 13:
Увеличить