Официальное опубликование правовых актов
ОФИЦИАЛЬНОЕ ОПУБЛИКОВАНИЕ
Приказ Департамента архитектуры и градостроительства Воронежской области от 25.11.2022 № 45-01-04/1179
"О внесении изменений в правила землепользования и застройки Кочетовского сельского поселения Хохольского муниципального района Воронежской области"
(Зарегистрирован 09.12.2022 № 1964)
Номер опубликования: 3601202212130009
Дата опубликования: 13.12.2022
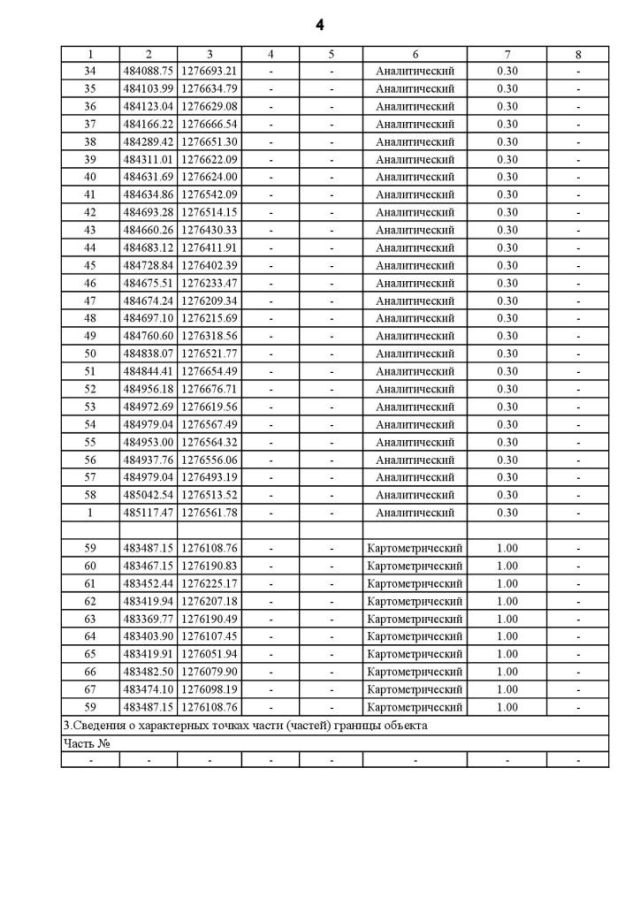
Страница №9 из 10:
Увеличить