Официальное опубликование правовых актов
ОФИЦИАЛЬНОЕ ОПУБЛИКОВАНИЕ
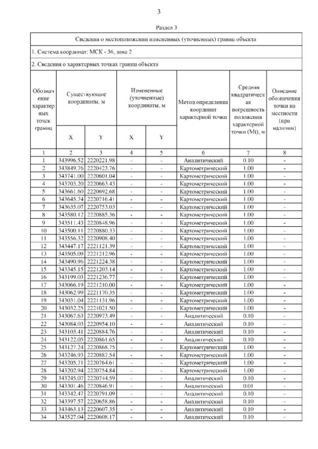
Приказ Департамента архитектуры и градостроительства Воронежской области от 09.11.2022 № 45-01-04/1138
"О внесении изменений в правила землепользования и застройки Новотроицкого сельского поселения Петропавловского муниципального района Воронежской области"
(Зарегистрирован 15.11.2022 № 1195)
Номер опубликования: 3601202211240006
Дата опубликования: 24.11.2022
Страница №27 из 33:
Увеличить