Официальное опубликование правовых актов
ОФИЦИАЛЬНОЕ ОПУБЛИКОВАНИЕ
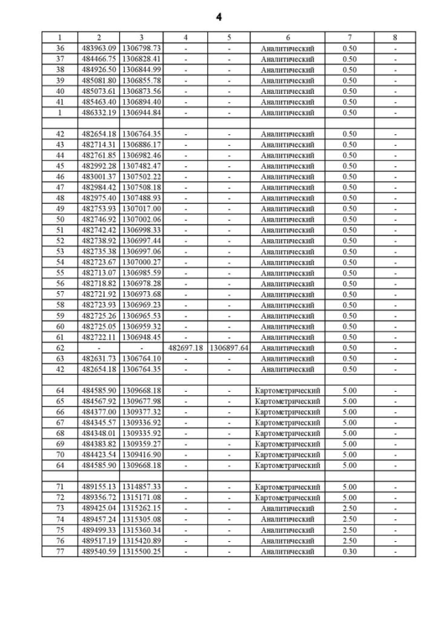
Приказ Департамента архитектуры и градостроительства Воронежской области от 27.10.2022 № 45-01-04/1067
"О внесении изменений в правила землепользования и застройки Боевского сельского поселения Каширского муниципального района Воронежской области"
(Зарегистрирован 09.11.2022 № 1168)
Номер опубликования: 3601202211110003
Дата опубликования: 11.11.2022
Страница №40 из 49:
Увеличить