Официальное опубликование правовых актов
ОФИЦИАЛЬНОЕ ОПУБЛИКОВАНИЕ
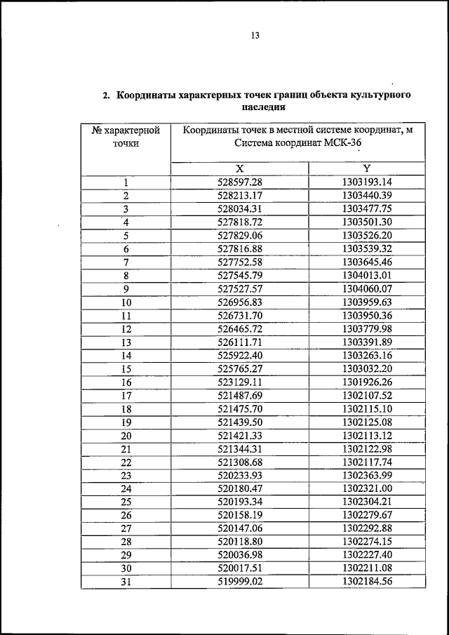
Приказ управления по охране объектов культурного наследия Воронежской области от 18.08.2022 № 71-01-07/331
"О включении выявленного объекта культурного наследия в единый государственный реестр объектов культурного наследия (памятников истории и культуры) народов Российской Федерации в качестве объекта культурного наследия регионального значения "Ландшафтно-археологический комплекс "Вантит"
(Зарегистрирован 01.09.2022 № 908)
Номер опубликования: 3601202209020003
Дата опубликования: 02.09.2022
Страница №13 из 14:
Увеличить