Официальное опубликование правовых актов
ОФИЦИАЛЬНОЕ ОПУБЛИКОВАНИЕ
Приказ управления по охране объектов культурного наследия Воронежской области от 27.06.2022 № 71-01-07/277
"О внесении изменений в приказ управления по охране объектов культурного наследия Воронежской области от 29.04.2019 № 71-01-07/115"
(Зарегистрирован 15.07.2022 № 729)
Номер опубликования: 3601202207180009
Дата опубликования: 18.07.2022
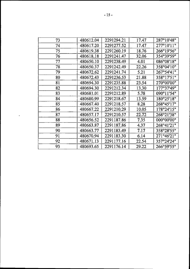
Страница №15 из 18:
Увеличить