Официальное опубликование правовых актов
ОФИЦИАЛЬНОЕ ОПУБЛИКОВАНИЕ
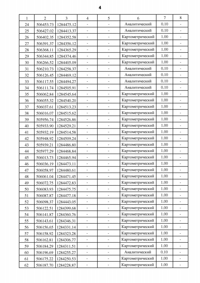
Приказ Департамента архитектуры и градостроительства Воронежской области от 22.06.2022 № 45-01-04/631
"О внесении изменений в правила землепользования и застройки Петинского сельского поселения Хохольского муниципального района Воронежской области"
(Зарегистрирован 04.07.2022 № 680)
Номер опубликования: 3601202207060007
Дата опубликования: 06.07.2022
Страница №12 из 28:
Увеличить