Официальное опубликование правовых актов
ОФИЦИАЛЬНОЕ ОПУБЛИКОВАНИЕ
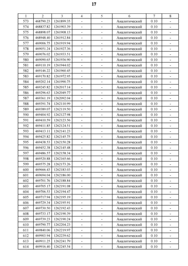
Приказ Департамента архитектуры и градостроительства Воронежской области от 16.06.2022 № 45-01-04/608
"О внесении изменений в правила землепользования и застройки Истобинского сельского поселения Репьёвского муниципального района Воронежской области"
(Зарегистрирован 04.07.2022 № 682)
Номер опубликования: 3601202207060002
Дата опубликования: 06.07.2022
Страница №28 из 39:
Увеличить