Официальное опубликование правовых актов
ОФИЦИАЛЬНОЕ ОПУБЛИКОВАНИЕ
Приказ Департамента архитектуры и градостроительства Воронежской области от 31.05.2022 № 45-01-04/526
"О внесении изменений в правила землепользования и застройки Семейского сельского поселения Подгоренского муниципального района Воронежской области"
(Зарегистрирован 10.06.2022 № 579)
Номер опубликования: 3601202206150002
Дата опубликования: 15.06.2022
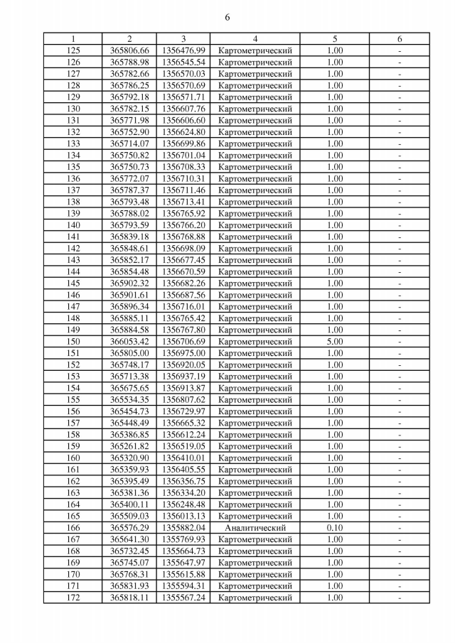
Страница №59 из 191:
Увеличить