Официальное опубликование правовых актов
ОФИЦИАЛЬНОЕ ОПУБЛИКОВАНИЕ
Приказ Департамента архитектуры и градостроительства Воронежской области от 31.03.2022 № 45-01-04/277
"Об утверждении правил землепользования и застройки Верхнеикорецкого сельского поселения Бобровского муниципального района Воронежской области"
(Зарегистрирован 14.04.2022 № 325)
Номер опубликования: 3601202204220004
Дата опубликования: 22.04.2022
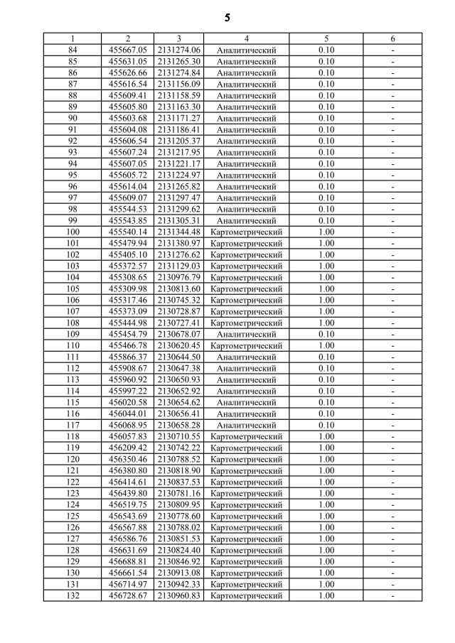
Страница №173 из 233:
Увеличить