Официальное опубликование правовых актов
ОФИЦИАЛЬНОЕ ОПУБЛИКОВАНИЕ
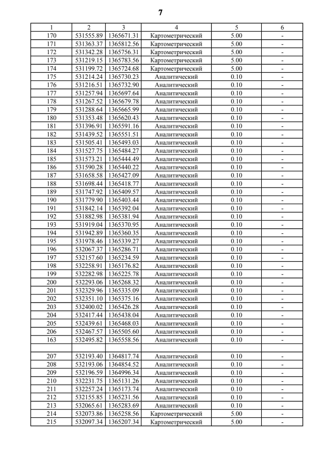
Приказ Департамента архитектуры и градостроительства Воронежской области от 30.03.2022 № 45-01-04/268
"О внесении изменений в правила землепользования и застройки Верхнемазовского сельского поселения Верхнехавского муниципального района Воронежской области"
(Зарегистрирован 08.04.2022 № 297)
Номер опубликования: 3601202204150013
Дата опубликования: 15.04.2022
Страница №54 из 157:
Увеличить