Официальное опубликование правовых актов
ОФИЦИАЛЬНОЕ ОПУБЛИКОВАНИЕ
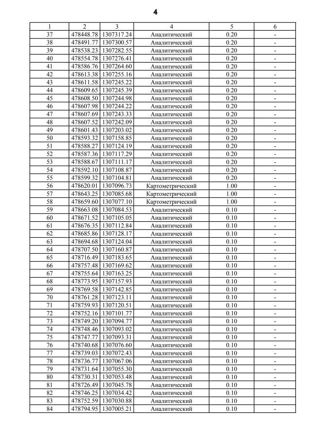
Приказ Департамента архитектуры и градостроительства Воронежской области от 30.03.2022 № 45-01-04/270
"О внесении изменений в правила землепользования и застройки Колодезянского сельского поселения Каширского муниципального района Воронежской области"
(Зарегистрирован 06.04.2022 № 281)
Номер опубликования: 3601202204110004
Дата опубликования: 11.04.2022
Страница №68 из 250:
Увеличить