Официальное опубликование правовых актов
ОФИЦИАЛЬНОЕ ОПУБЛИКОВАНИЕ
Приказ Департамента архитектуры и градостроительства Воронежской области от 24.03.2022 № 45-01-04/236
"О внесении изменений в правила землепользования и застройки Покровского сельского поселения Павловского муниципального района Воронежской области"
(Зарегистрирован 04.04.2022 № 271)
Номер опубликования: 3601202204070009
Дата опубликования: 07.04.2022
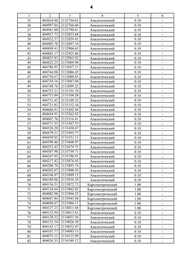
Страница №51 из 216:
Увеличить