Официальное опубликование правовых актов
ОФИЦИАЛЬНОЕ ОПУБЛИКОВАНИЕ
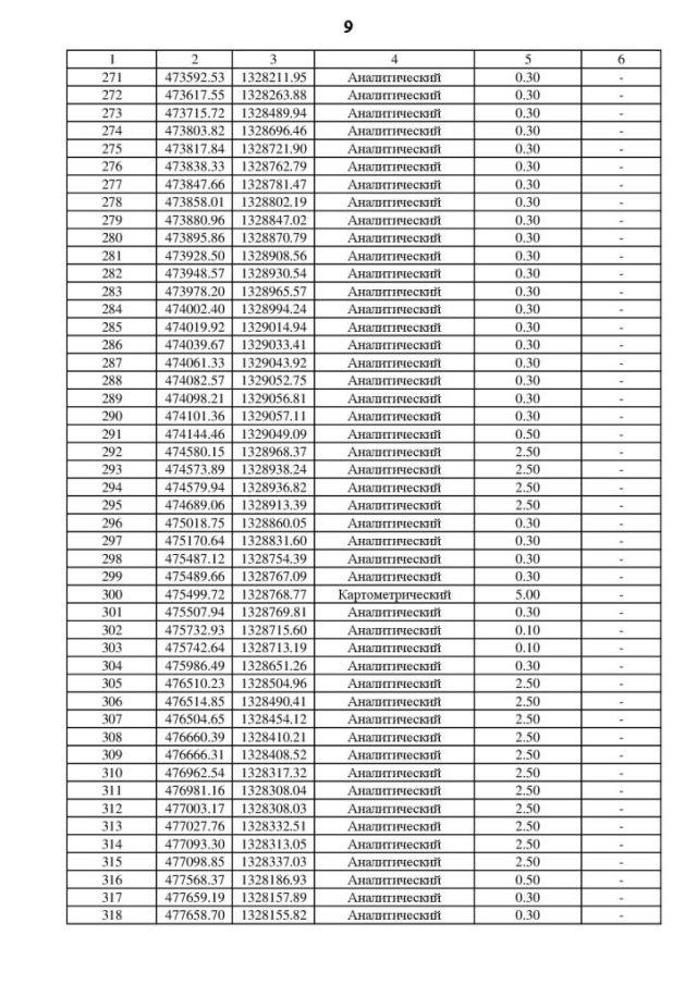
Приказ Департамента архитектуры и градостроительства Воронежской области от 17.12.2021 № 45-01-04/1345
"О внесении изменений в правила землепользования и застройки Данковского сельского поселения Каширского муниципального района Воронежской области"
(Зарегистрирован 18.01.2022 № 2026)
Номер опубликования: 3601202201200017
Дата опубликования: 20.01.2022
Страница №142 из 156:
Увеличить