Официальное опубликование правовых актов
ОФИЦИАЛЬНОЕ ОПУБЛИКОВАНИЕ
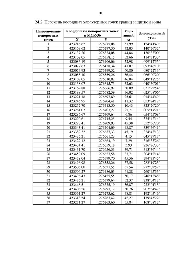
Приказ управления по охране объектов культурного наследия Воронежской области от 14.11.2019 № 71-01-07/289
"Об утверждении графического описания местоположения границ (с перечнем координат характерных точек этих границ) защитных зон объектов культурного наследия, расположенных на территории Воронежской области"
(Зарегистрирован 26.11.2019 № 901)
Номер опубликования: 3601201911280003
Дата опубликования: 28.11.2019
Страница №50 из 82:
Увеличить