Официальное опубликование правовых актов
ОФИЦИАЛЬНОЕ ОПУБЛИКОВАНИЕ
Постановление правительства Воронежской области от 27.12.2021 № 797
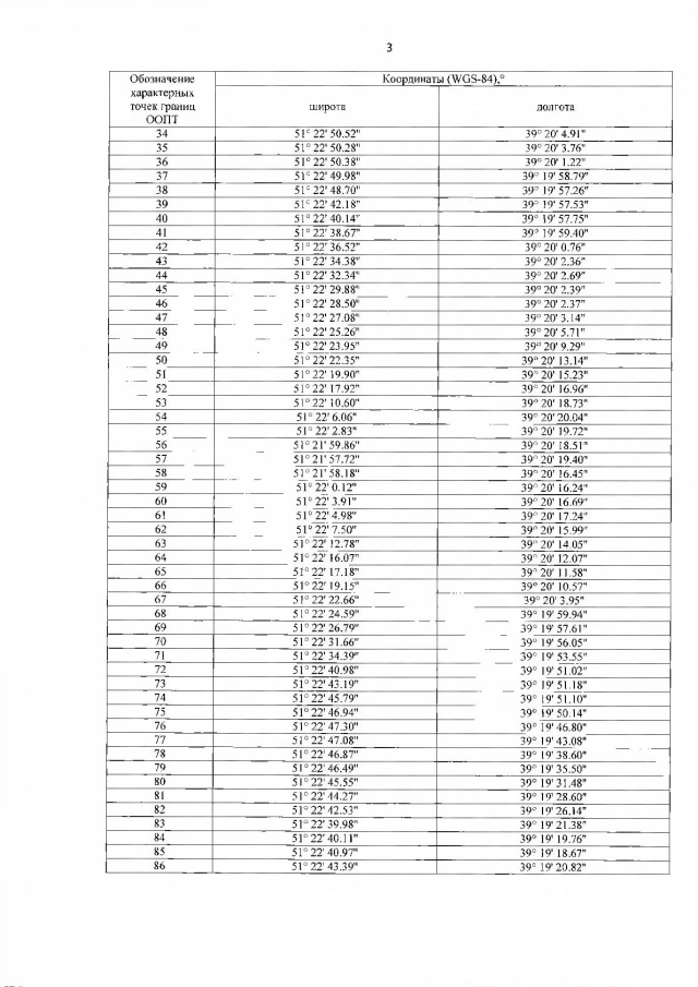
"О создании памятников природы областного значения "Почвенный разрез у с. Боево", "Почвенный разрез у с. Запрудское", "Почвенный разрез у с. Красный Лог" и о внесении изменений в постановление администрации Воронежской области от 28.05.1998 № 500"
Номер опубликования: 3600202112290005
Дата опубликования: 29.12.2021
Страница №6 из 66:
Увеличить