Официальное опубликование правовых актов
ОФИЦИАЛЬНОЕ ОПУБЛИКОВАНИЕ
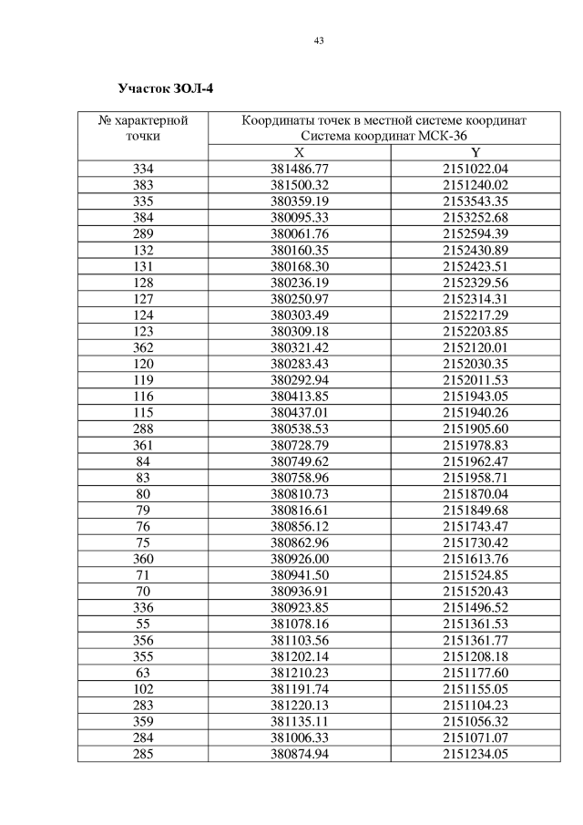
Постановление правительства Воронежской области от 23.10.2019 № 1013
"Об утверждении объединенной зоны охраны объектов культурного наследия, расположенных в городском поселении - город Павловск, и требований к градостроительным регламентам в границах территории объединенной зоны охраны"
Номер опубликования: 3600201910310015
Дата опубликования: 31.10.2019
Страница №45 из 72:
Увеличить