Официальное опубликование правовых актов
ОФИЦИАЛЬНОЕ ОПУБЛИКОВАНИЕ
Постановление правительства Воронежской области от 14.02.2018 № 153
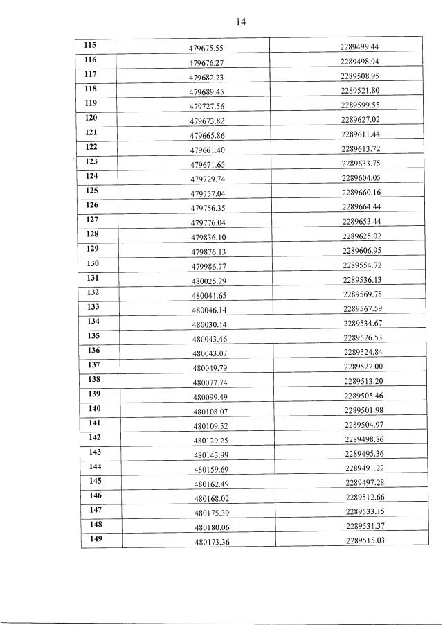
"Об утверждении проекта планировки территории для размещения объекта регионального значения: "Межпоселковый газопровод высокого давления до п. Теллермановский, газопровод низкого давления в п. Теллермановский Грибановского муниципального района Воронежской области"
Номер опубликования: 3600201802200007
Дата опубликования: 20.02.2018
Страница №16 из 40:
Увеличить