Официальное опубликование правовых актов
ОФИЦИАЛЬНОЕ ОПУБЛИКОВАНИЕ
Приказ Министерства строительства Вологодской области от 16.12.2025 № 076
"Об утверждении административного регламента предоставления государственной услуги по выдаче разрешения на строительство объекта капитального строительства (в том числе внесение изменений в разрешение на строительство объекта капитального строительства и внесение изменений в разрешение на строительство объекта капитального строительства в связи с продлением срока действия такого разрешения)"
(Зарегистрирован 16.12.2025 № 076)
Номер опубликования: 3501202512230001
Дата опубликования: 23.12.2025
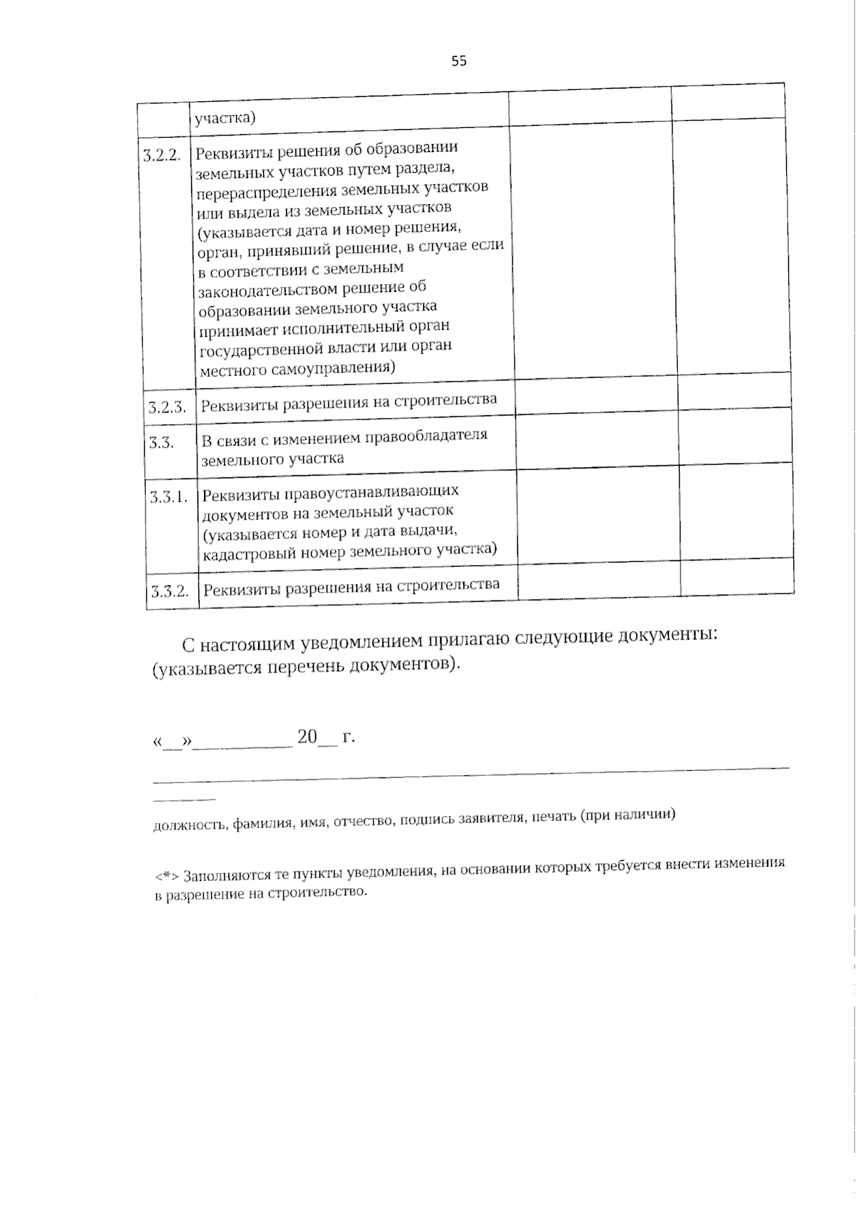
Страница №55 из 58:
Увеличить