Официальное опубликование правовых актов
ОФИЦИАЛЬНОЕ ОПУБЛИКОВАНИЕ
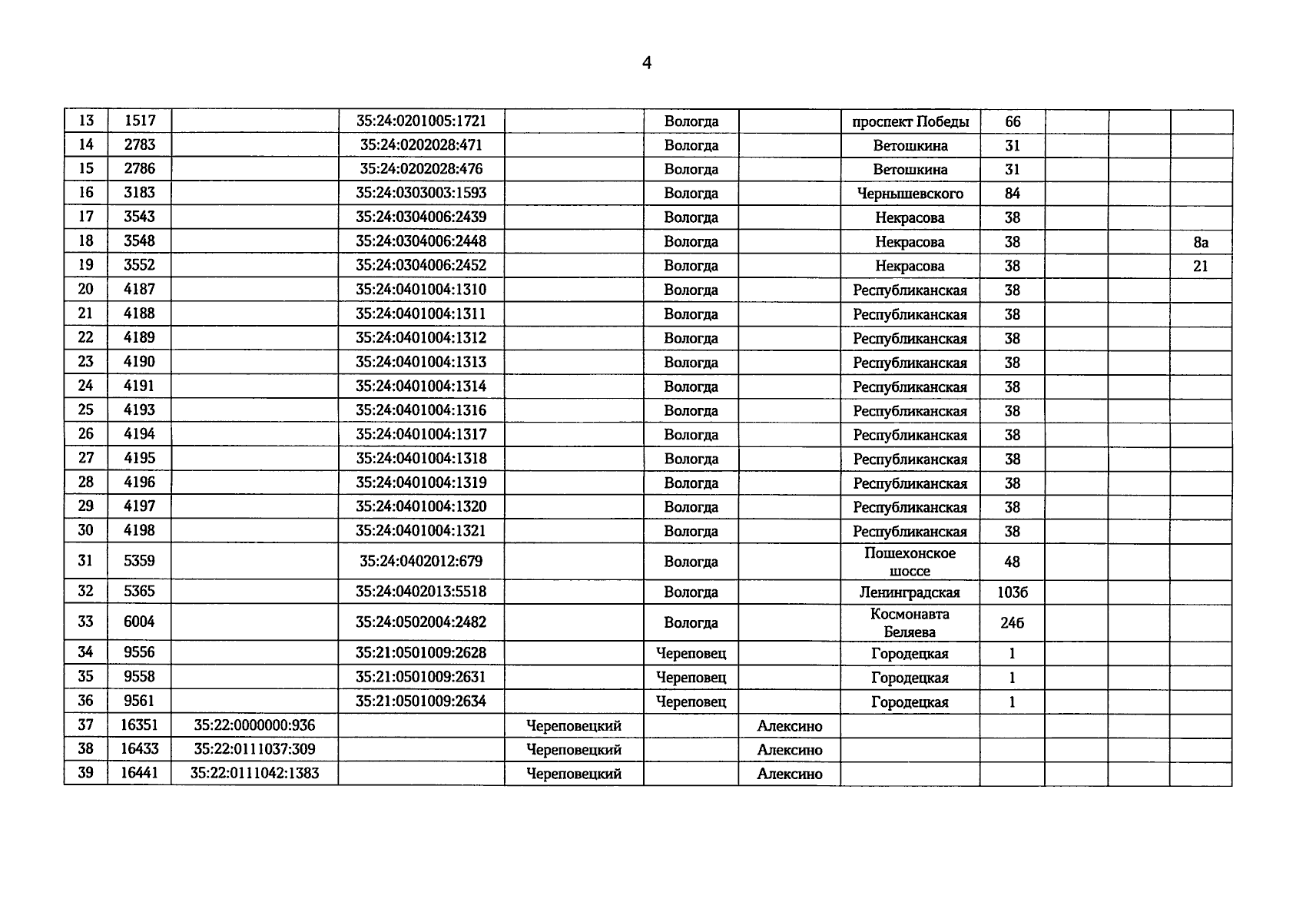
Приказ Министерства имущественных отношений и градостроительной деятельности Вологодской области от 27.11.2025 № 167-н
"О внесении изменений в приказ Министерства имущественных отношений и градостроительной деятельности Вологодской области от 19.11.2024 № 105-н"
(Зарегистрирован 27.11.2025 № 167-н)
Номер опубликования: 3501202511270009
Дата опубликования: 27.11.2025
Страница №4 из 4:
Увеличить