Официальное опубликование правовых актов
ОФИЦИАЛЬНОЕ ОПУБЛИКОВАНИЕ
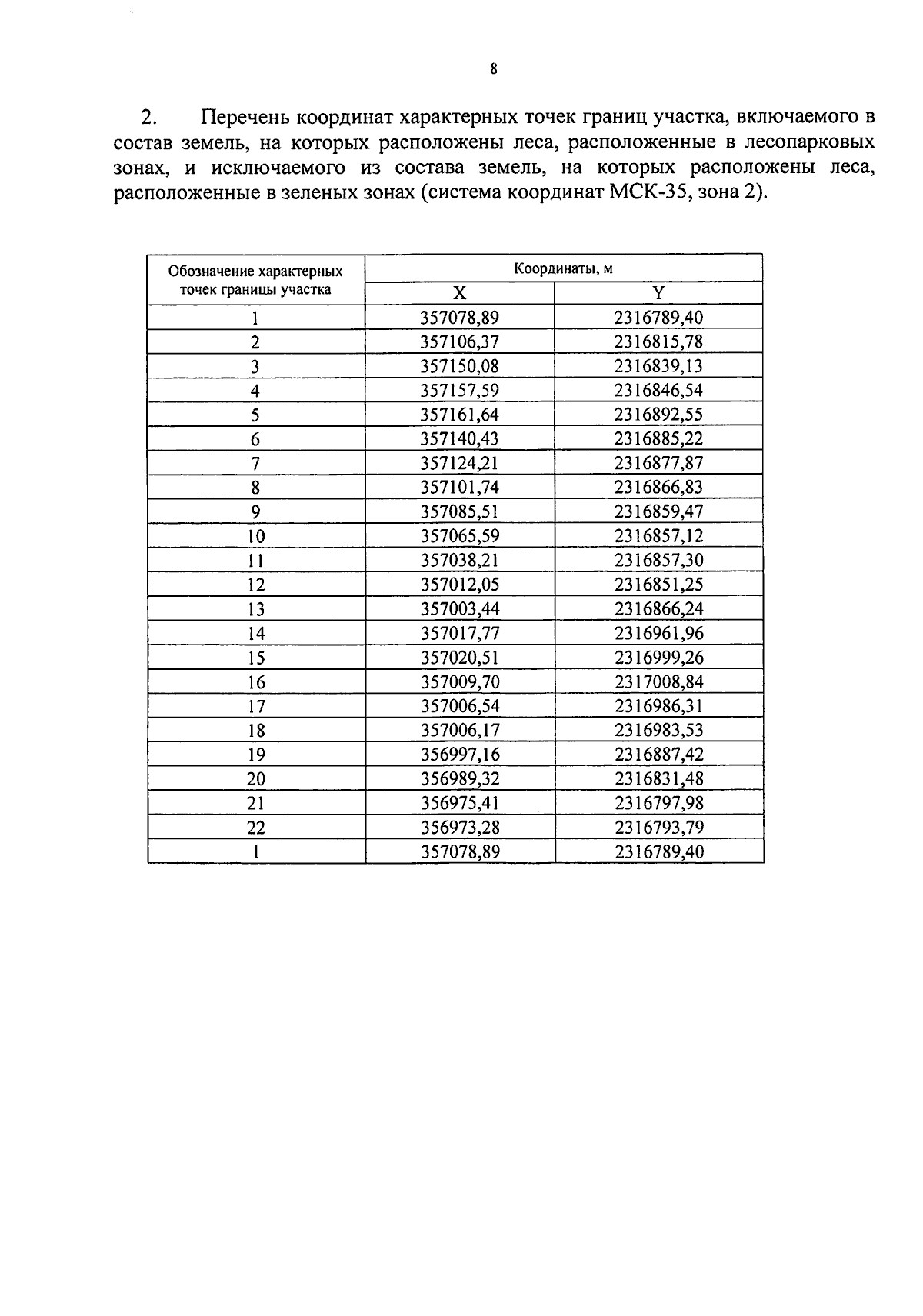
Приказ Департамента природных ресурсов, лесного и охотничьего хозяйства Вологодской области от 29.08.2024 № 1115
"Об изменении границ земель, на которых расположены леса, расположенные в лесопарковых и зеленых зонах, на территории Вологодского лесничества Вологодской области"
(Зарегистрирован 29.08.2024 № 1115)
Номер опубликования: 3501202408290004
Дата опубликования: 29.08.2024
Страница №8 из 8:
Увеличить