Приказ Департамента природных ресурсов, лесного и охотничьего хозяйства Вологодской области от 29.08.2024 № 1115
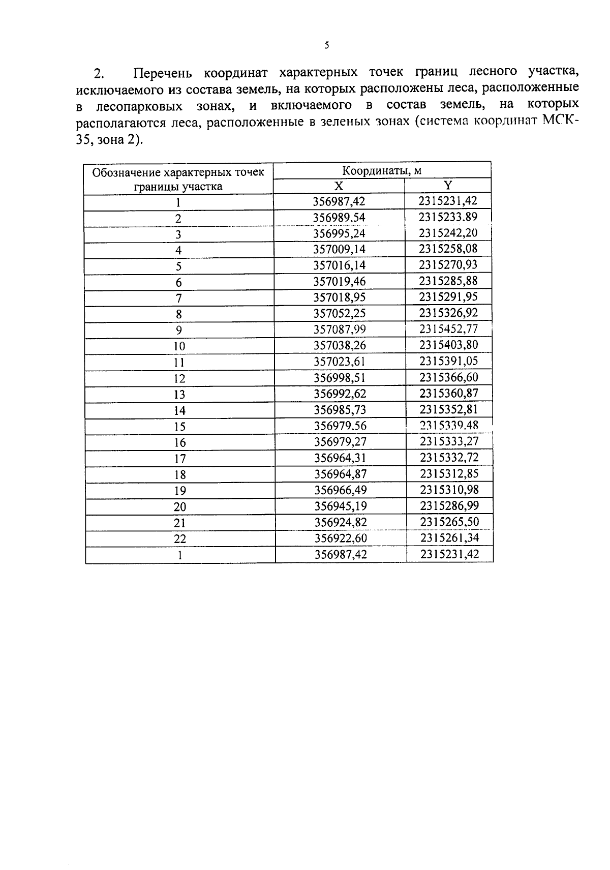
"Об изменении границ земель, на которых расположены леса, расположенные в лесопарковых и зеленых зонах, на территории Вологодского лесничества Вологодской области"
(Зарегистрирован 29.08.2024 № 1115)
"Об изменении границ земель, на которых расположены леса, расположенные в лесопарковых и зеленых зонах, на территории Вологодского лесничества Вологодской области"
(Зарегистрирован 29.08.2024 № 1115)
Номер опубликования: 3501202408290004
Дата опубликования:
29.08.2024
