Официальное опубликование правовых актов
ОФИЦИАЛЬНОЕ ОПУБЛИКОВАНИЕ
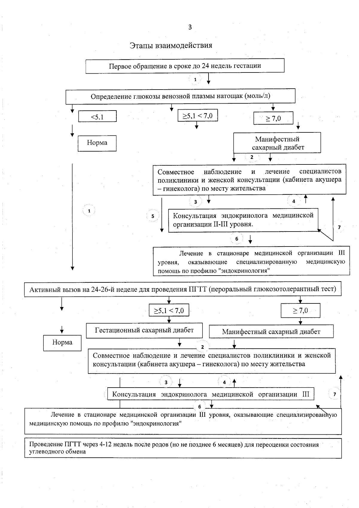
Приказ комитета здравоохранения Волгоградской области от 20.01.2025 № 8н
"Об организации медицинской помощи взрослому населению по профилю "эндокринология" на территории Волгоградской области"
Номер опубликования: 3401202501230001
Дата опубликования: 23.01.2025
Страница №78 из 89:
Увеличить