Официальное опубликование правовых актов
ОФИЦИАЛЬНОЕ ОПУБЛИКОВАНИЕ
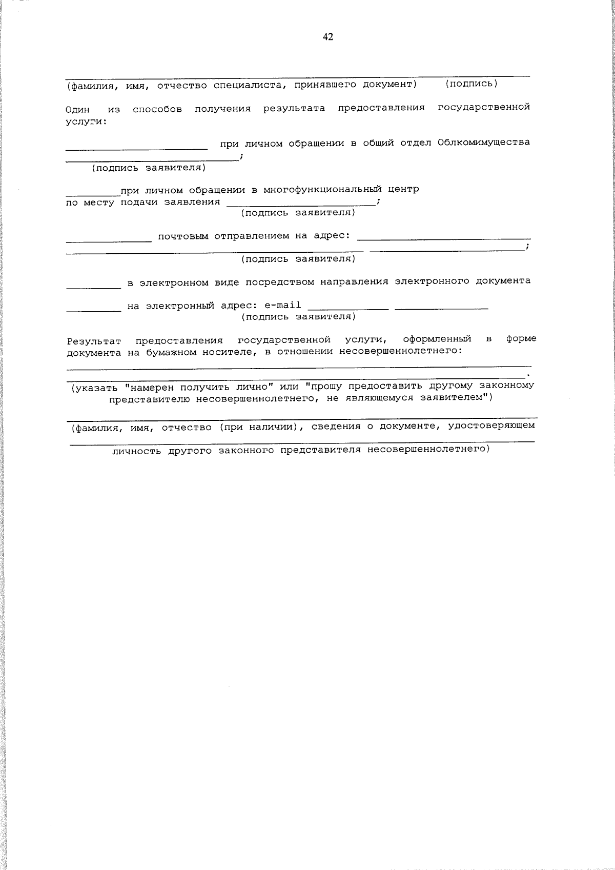
Приказ комитета по управлению государственным имуществом Волгоградской области от 25.12.2024 № 65-н
"Об утверждении Административного регламента предоставления комитетом по управлению государственным имуществом Волгоградской области государственной услуги "Предоставление земельных участков в собственность и в аренду гражданам и юридическим лицам без проведения торгов"
Номер опубликования: 3401202412260028
Дата опубликования: 26.12.2024
Страница №47 из 47:
Увеличить