Официальное опубликование правовых актов
ОФИЦИАЛЬНОЕ ОПУБЛИКОВАНИЕ
Приказ комитета природных ресурсов, лесного хозяйства и экологии Волгоградской области от 09.04.2024 № 563-ОД
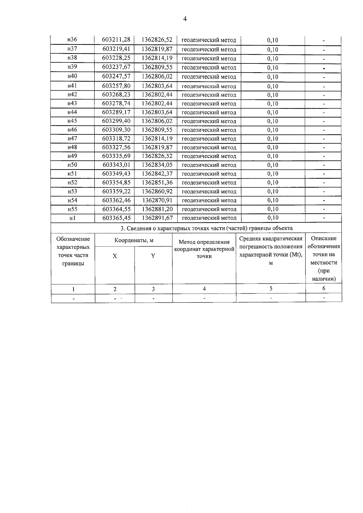
"Об утверждении решения об установлении зон санитарной охраны скважины № 02369 водозабора для питьевых и хозяйственно-бытовых нужд, расположенного по адресу: Волгоградская область, Фроловский район, х. Перфиловский"
Номер опубликования: 3401202404110001
Дата опубликования: 11.04.2024
Страница №9 из 9:
Увеличить