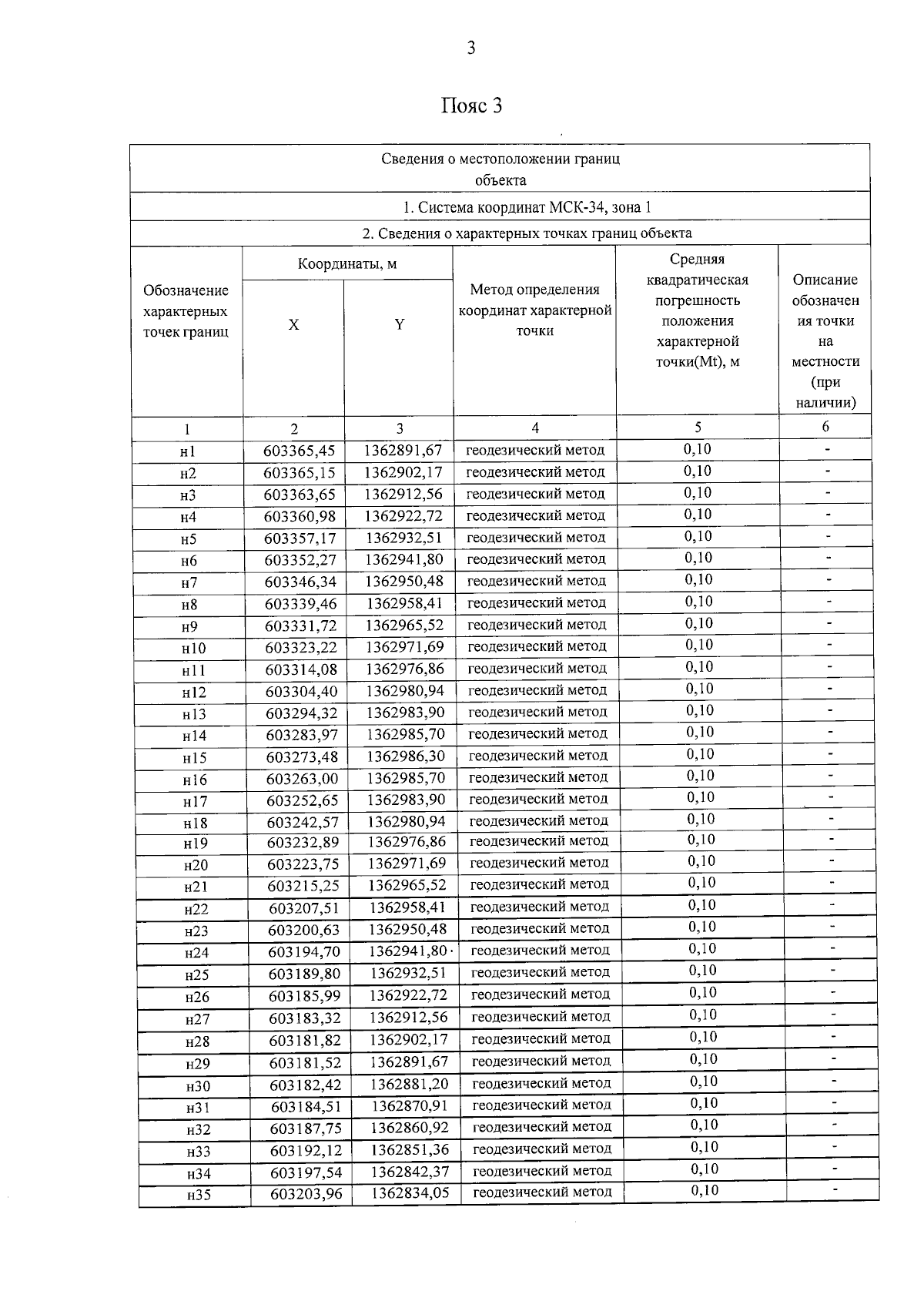
Приказ комитета природных ресурсов, лесного хозяйства и экологии Волгоградской области от 09.04.2024 № 563-ОД
"Об утверждении решения об установлении зон санитарной охраны скважины № 02369 водозабора для питьевых и хозяйственно-бытовых нужд, расположенного по адресу: Волгоградская область, Фроловский район, х. Перфиловский"
"Об утверждении решения об установлении зон санитарной охраны скважины № 02369 водозабора для питьевых и хозяйственно-бытовых нужд, расположенного по адресу: Волгоградская область, Фроловский район, х. Перфиловский"
Номер опубликования: 3401202404110001
Дата опубликования:
11.04.2024
