Официальное опубликование правовых актов
ОФИЦИАЛЬНОЕ ОПУБЛИКОВАНИЕ
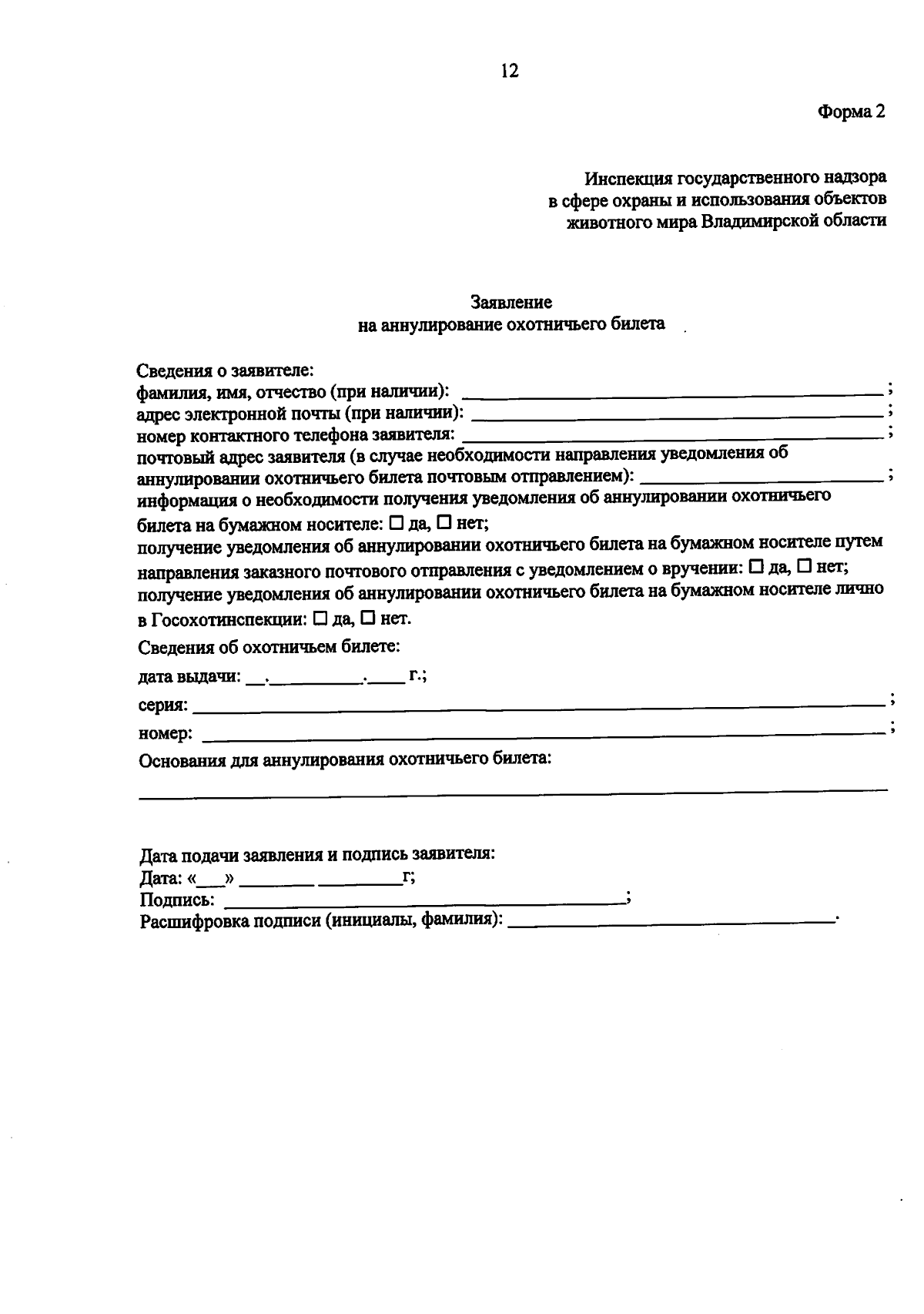
Приказ Инспекции государственного надзора в сфере охраны и использования объектов животного мира Владимирской области от 10.11.2025 № 8-н
"О внесении изменений в приказ Госохотинспекции от 29.07.2025 № З-н"
(Зарегистрирован 10.11.2025 № ГОИ2025-008)
Номер опубликования: 3301202511110008
Дата опубликования: 11.11.2025
Страница №25 из 29:
Увеличить