Официальное опубликование правовых актов
ОФИЦИАЛЬНОЕ ОПУБЛИКОВАНИЕ
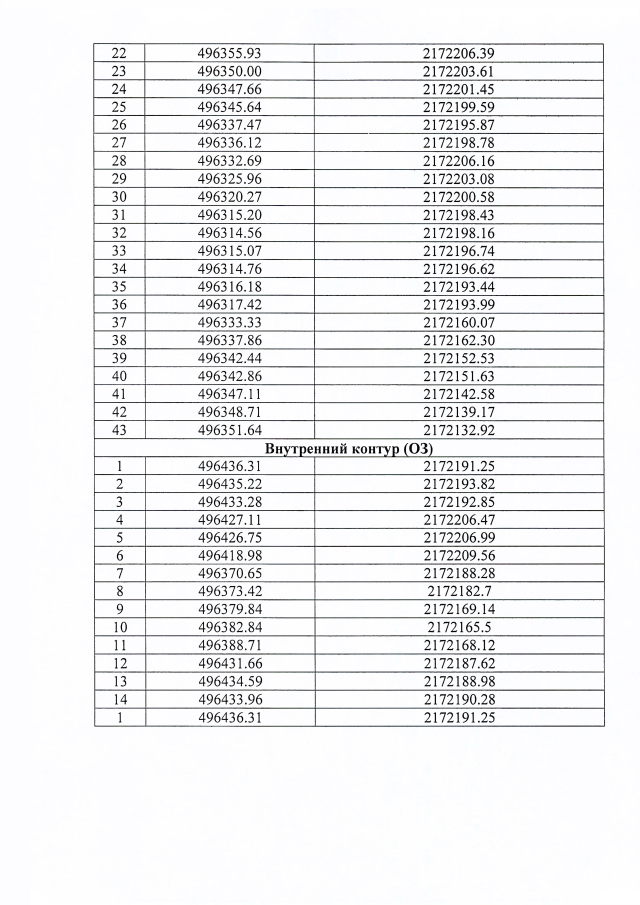
Приказ Управления по охране и сохранению историко-культурного наследия Брянской области от 23.08.2021 № 2-1/82
"Об установлении зон охраны объекта культурного наследия регионального значения "Дом № 16", расположенного по адресу: Брянская область, г. Брянск, ул. Ульянова, д. 16, и утверждении требований к градостроительным регламентам в границах территорий зон"
Номер опубликования: 3201202108270002
Дата опубликования: 27.08.2021
Страница №4 из 13: