Официальное опубликование правовых актов
ОФИЦИАЛЬНОЕ ОПУБЛИКОВАНИЕ
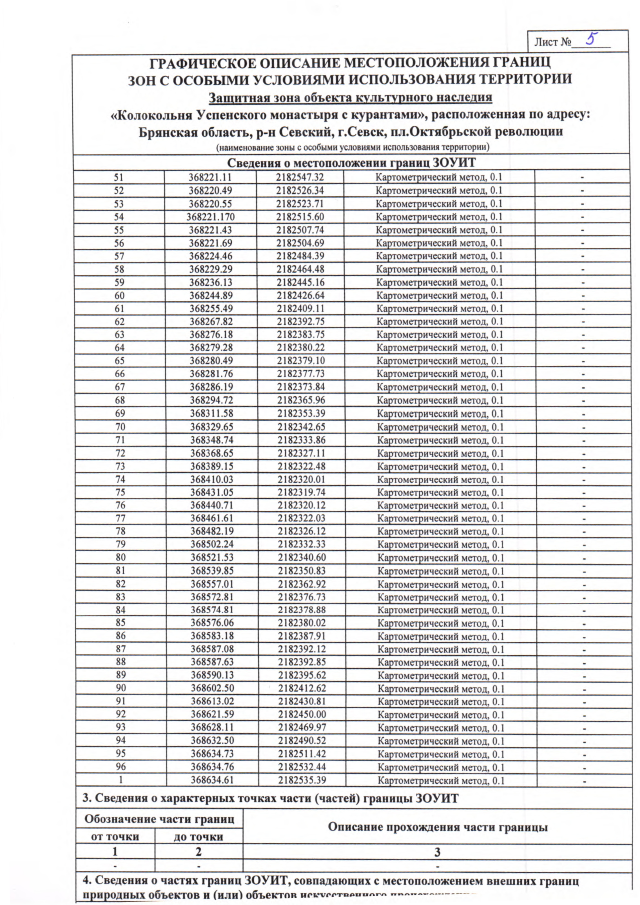
Приказ Управления по охране и сохранению историко-культурного наследия Брянской области от 27.12.2018 № 2-1/109
"Об утверждении перечня объектов культурного наследия, границ защитных зон, а также ограничений по использованию в пределах защитных зон для объектов культурного наследия"
Номер опубликования: 3201201901040002
Дата опубликования: 04.01.2019
Страница №257 из 496: