Приказ Управления имущественных отношений Брянской области от 27.11.2015 № 1890
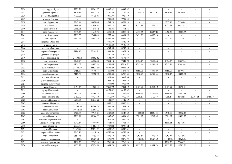
"Об утверждении результатов определения кадастровой стоимости объектов недвижимости (за исключением земельных участков), расположенных на территории Брянской области"
"Об утверждении результатов определения кадастровой стоимости объектов недвижимости (за исключением земельных участков), расположенных на территории Брянской области"
Номер опубликования: 3201201511270001
Дата опубликования:
27.11.2015
