Официальное опубликование правовых актов
ОФИЦИАЛЬНОЕ ОПУБЛИКОВАНИЕ
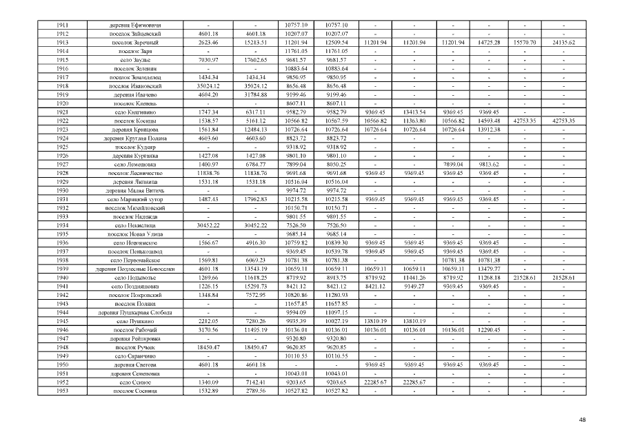
Приказ Управления имущественных отношений Брянской области от 27.11.2015 № 1890
"Об утверждении результатов определения кадастровой стоимости объектов недвижимости (за исключением земельных участков), расположенных на территории Брянской области"
Номер опубликования: 3201201511270001
Дата опубликования: 27.11.2015
Страница №9925 из 9938:
Увеличить