Официальное опубликование правовых актов
ОФИЦИАЛЬНОЕ ОПУБЛИКОВАНИЕ
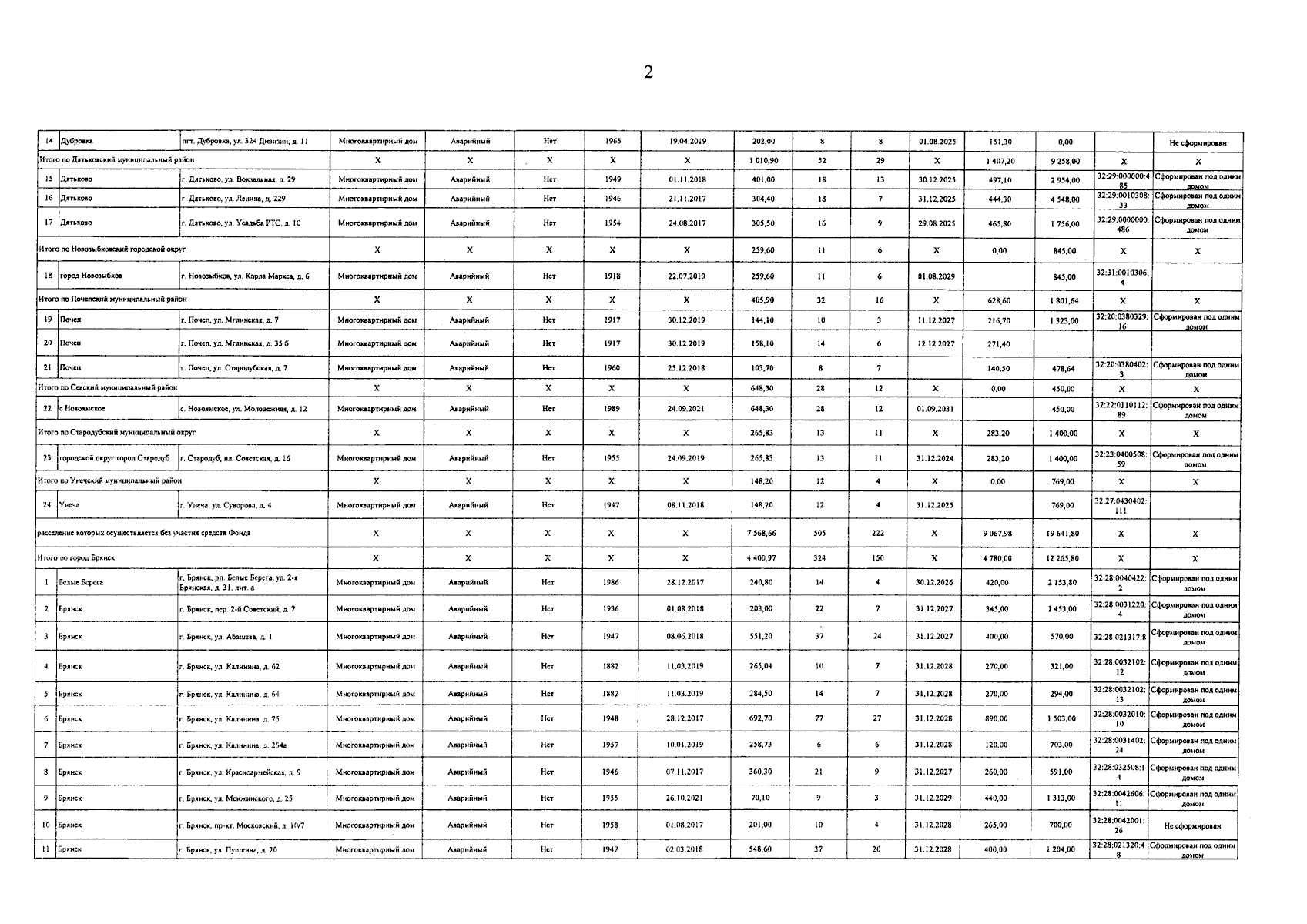
Постановление Правительства Брянской области от 28.07.2025 № 398-п
"Об утверждении региональной адресной программы "Переселение граждан из аварийного жилищного фонда на территории Брянской области" (2025 — 2030 годы)"
Номер опубликования: 3200202508040020
Дата опубликования: 04.08.2025
Страница №26 из 31:
Увеличить