Официальное опубликование правовых актов
ОФИЦИАЛЬНОЕ ОПУБЛИКОВАНИЕ
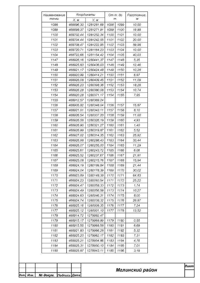
Постановление Правительства Брянской области от 17.04.2017 № 169-п
"Об утверждении документации по планировке территории для размещения линейных объектов регионального значения, включенных в перечень объектов строительства и реконструкции автомобильных дорог общего пользования в 2017-2018 годах"
Номер опубликования: 3200201704260002
Дата опубликования: 26.04.2017
Страница №57 из 273:
Увеличить