Официальное опубликование правовых актов
ОФИЦИАЛЬНОЕ ОПУБЛИКОВАНИЕ
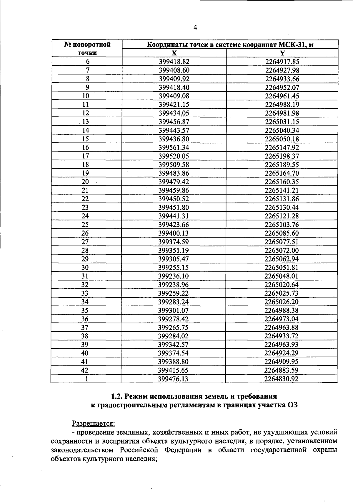
Постановление Правительства Белгородской области от 27.10.2025 № 511-пп
"Об утверждении границ зон охраны, режимов использования земель и требований к градостроительным регламентам в границах зон охраны объектов культурного наследия (памятников истории и культуры), расположенных на территории Алексеевского муниципального округа Белгородской области"
Номер опубликования: 3100202511050003
Дата опубликования: 05.11.2025
Страница №4 из 29:
Увеличить