Официальное опубликование правовых актов
ОФИЦИАЛЬНОЕ ОПУБЛИКОВАНИЕ
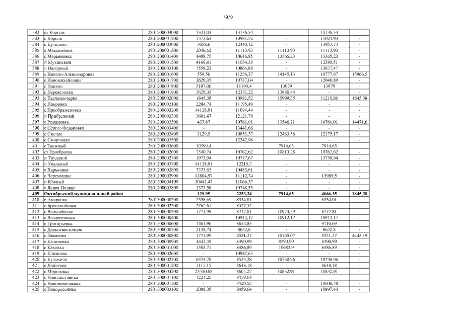
Постановление Правительства Амурской области от 29.11.2016 № 536
"Об утверждении результатов определения кадастровой стоимости объектов недвижимости (зданий, сооружений, помещений, объектов незавершенного строительства) на территории Амурской области"
Номер опубликования: 2800201612010001
Дата опубликования: 01.12.2016
Страница №7971 из 7977:
Увеличить